
2JTP型提升絞車
產品介紹:
雙筒:2JTP-1.6礦用提升絞車
2JTP-1.2礦用提升絞車
JTP型提升絞車
絞車采用彈性焊接結構卷筒(卷筒可分離)、盤形制動器和液壓站裝置、制動靈敏、速度快;雙筒絞車設有徑向齒塊調繩離合器及調繩聯鎖裝置,調繩準確迅速,設有牌坊式深度指示器,電器系統有控制柜(屏)、操作臺、電阻器、電機等組成,整體設備具有結構緊湊、操作方便、安全可靠、低電耗等優點。
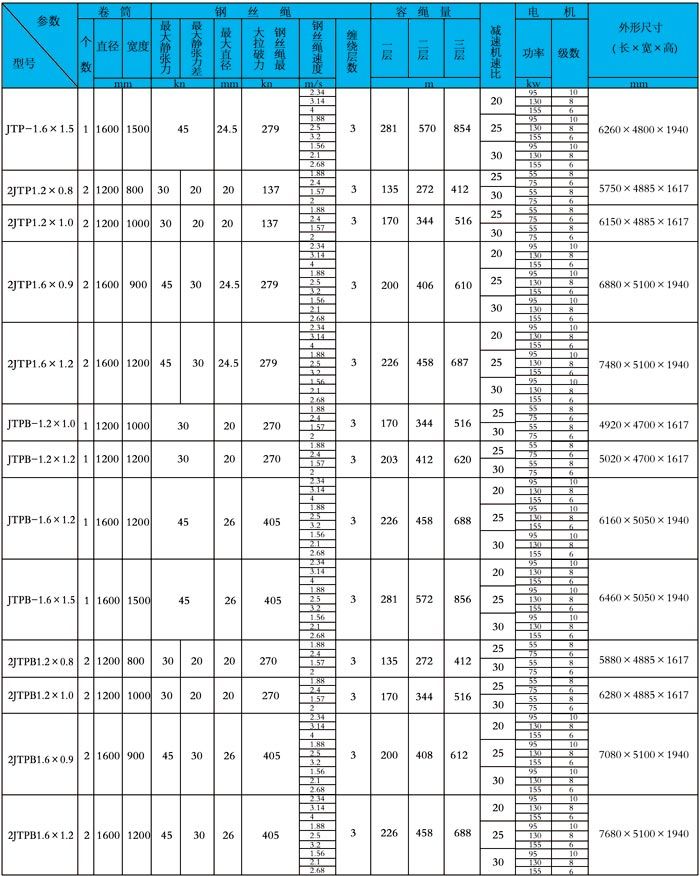
JTP型礦井提升絞車參數表

2JTP型提升絞車
2JTP型提升絞車 2020-7-1 本文被閱讀 4181 次